
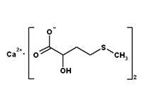
Product name: D,L-α-Hydroxymethionine Calcium
Chemical name: 2-Hydroxy-4-(methylthio)butyric acid calcium salt; calcium bis[2-hydroxy-4-(methylsulfanyl)butanoate]; D,L-α-Hydroxymethionine Calcium
Molecular formula: C10H18CaO6S2
Molecular weight: 338.45
Structural formula:
CAS # : 4857-44-7
Approved by CFDA
Approved by GMP certification
Appearance: white or almost white crystal powder; bittle taste
Content: 98.5%-102.0%
Packaging:Packaged in multi-layer craft paper drum with food grade PE inner bag and a shading inner bag.
Specification: 25kg/drum